目 錄
第一部分 隨州市衛健委概況
一、部門主要職責
二、部門基本情況
第二部分2020年部門預算和匯總預算情況說明
一、隨州市衛健委2020年部門預算情況說明
(一)2020年部門預算收支情況說明
1.收入預算情況
2.支出預算情況
3.財政撥款支出情況
4.政府性基金情況
5.國有資本經營預算情況
6.機關運行經費等重要事項的說明
7.政府采購情況
8.國有資產占用情況
(二)2020年“三公”經費預算匯總情況說明
二、隨州市衛健委2020年系統匯總預算情況說明
(目錄清單同上)
第三部分 隨州市衛健委2020年部門預算表
一、隨州市衛健委2020年部門預算表
1.部門收支預算總表
2.部門收入總表
3.部門支出總表
4.財政撥款收支總表
5.一般公共預算支出表
6.一般公共預算基本支出表
7.一般公共預算“三公”經費支出表
8.政府性基金預算支出表
(二)隨州市衛健委2020年系統匯總預算表
(目錄清單同上)
第四部分 隨州市衛健委2020年預算績效情況
一、部門整體績效目標編制情況
二、重點項目績效目標編制情況
第五部分 專業名詞解釋
第一部分 隨州市衛健委概況
一、部門主要職責
(一)貫徹落實國民健康政策,負責起草衛生健康、中醫藥事業發展地方性法規、政府規章草案,擬訂全市衛生健康發展規劃和措施,監督實施衛生健康行業技術標準和技術規范。統籌規劃衛生健康服務資源配置,編制區域衛生健康規劃并組織實施。協調推進健康隨州建設。組織實施推進衛生健康基本公共服務均等化、普惠化、便捷化和公共資源向基層延伸等政策措施。
(二)協調推進全市深化醫藥衛生體制改革,研究提出全市深化醫藥衛生體制改革政策、措施的建議。
(三)組織實施國家免疫規劃,制定并組織落實疾病預防控制規劃以及危害人民健康的公共衛生問題的干預措施。負責衛生應急工作,組織指導突發公共衛生事件的預防控制和各類突發公共事件的醫療衛生救援。發布法定報告傳染病疫情信息、突發公共衛生事件應急處置信息。
(四)組織擬訂并協調落實應對人口老齡化政策措施,負責推進老年健康服務體系建設和醫養結合工作。
(五)貫徹落實國家基本藥物政策和國家基本藥物制度,開展藥品使用監測、臨床綜合評價和短缺藥品預警,提出全市基本藥物價格政策的建議,執行國家藥典。配合相關部門做好食品安全風險監測評估和食品安全地方標準跟蹤評價工作。
(六)負責職責范圍內的職業衛生、放射衛生、環境衛生、學校衛生、公共場所衛生、飲用水衛生等公共衛生的監督管理,負責傳染病防治監督,健全衛生健康綜合監督體系。
(七)監督醫療機構、醫療服務行業管理辦法的組織實施,建立醫療服務評價和監督管理體系。會同市有關部門實施衛生健康專業技術人員資格標準。負責醫療服務規范、標準和衛生健康專業技術人員執業規則、服務規范的組織實施。
(八)負責計劃生育管理和服務工作,開展人口監測預警,研究提出人口與家庭發展相關政策建議,完善落實計劃生育政策。
(九)負責全市衛生健康工作,負責基層醫療衛生、婦幼健康服務體系和全科醫生隊伍建設。推進衛生健康科技創新發展。
(十)擬訂實施中醫藥中長期發展規劃,并納入衛生健康事業發展總體規劃和戰略目標。組織開展全市中醫藥人才培養、師承教育工作,推廣中醫科技成果和適宜技術,傳承和發展中醫藥文化。組織開展全市中醫藥資源普查。
(十一)負責市保健對象的醫療保健工作,承擔全市性重要會議與重大活動的醫療衛生保障工作。
(十二)歸口管理市計劃生育協會。
(十三)完成上級交辦的其他任務。
(十四)職能轉變。市衛生健康委員會牢固樹立大衛生、大健康理念,推動健康湖北戰略隨州實踐,以改革創新為動力,以促健康、轉模式、強基層、重保障為著力點,把以治病為中心轉變到以人民健康為中心,為人民群眾提供全方位全周期健康服務。
(十五)有關職責分工。包括與市發展和改革委員會、市民政局、隨州海關、市場監督管理局、市醫療保障局、市藥品監督管理局等部門的有關職責分工(略)
市紅十字會職責:依據《中華人民共和國紅十字會法》和《中國紅十字會章程》有關規定,開展備災救災;捐獻造血干細胞的宣傳推動;開展艾滋病預防控制宣傳和教育、關心愛護及人道救助工作;依法開展募捐活動。
二、部門基本情況
隨州市衛生和計劃生育委員會內設16個機構:辦公室、人事教育科、規劃信息科、財務科、政策法規與綜合監督科、健康隨州建設辦公室、疾病預防控制科(市衛生應急辦)、醫政醫管科(市國防動員委員會醫療衛生辦公室)、中醫藥管理科、基層衛生健康科(老齡健康科)、婦幼健康科、人口監測與家庭發展科、宣傳科、干部保健辦公室、機關黨委、老干部科等;同時市紅十字會、市計生協會、市避孕藥具管理站三個直屬單位人員與市衛健委打通使用,財務合署辦公。其人員編制和實有人員情況如下:行政(含參公)編制33人,實有在職在編31人,行政工人編制1人,實有在職在編1人;公益一類編制6人,實有在職在編3人;工勤編制(以錢養事)編制2人,實有1人;離休1人,退休18人,遺屬1人。
2020年納入部門預算管理單位共6個,分別是:市中心醫院、市中醫醫院、市婦幼保健醫院、市疾控中心、市衛生計生綜合監督執法局、市中心血站。人員編制和實有人員情況如下:事業單位編制1825人,實有在職在編1549人;在職編外3人;單位自聘1912人;離休人員1人,退休人員757人,。
第二部分隨州市衛健委2020年部門預算和匯總預算情況說明
一、隨州市衛健委2020年部門本級預算情況說明
(一)隨州市衛健委2020年部門本級預算收支情況說明
1.收入預算情況
收入預算總額1048.54萬元,較上年預算安排增加10.4萬元,升幅1%。其中:1.財政撥款838.34萬元,包括經費撥款708.3萬元,納入預算管理的非稅收入59萬元,上級專項轉移支付71.31萬元;升幅原因:一是人員工資有調整,二是增加健康隨州、老齡辦工作職能。2.其他收入37.77萬元,較上年減少40.15萬元,下降59.11%,下降原因主要是上級對援外補助和同級人才辦經費收入。3.上年結轉182.43萬元,較上年增加18.6萬元,升幅11.35%,升幅原因主要是省級下達援外人員補助款時財政即將年度扎賬,而未能及時支付。
2.支出預算情況
支出預算總額1038.14萬元,較上年預算安排減少45.71萬元,降幅4.22%。
一是按功能分類:社會保障和就業支出127.09萬元,同比下降20.50%;醫療衛生支出874.04萬元,同比上升5.55%;住房保障支出47.41萬元,同比下降5.5%。
二是按經濟分類:工資福利支出496.95萬元,同比上升7.8%,升幅原因主要是將住房公積金列入工資福利;對個人和家庭的補助支出166.08萬元,同比上升427%,增加原因主要是將對企業退休職工計劃生育家庭獎勵(118萬元)納入;商品和服務支出290.36萬元,同比上升87.81%,升幅原因是增加項目的服務支出;其他資本性支出95.15萬元,同比增加37.1%,升幅原因是擬購買安全可靠產品和更換老舊辦公設備等。
3.財政撥款支出情況
財政撥款支出預算總額838.34萬元,較上年增加29.95萬元,同比增幅3.71%,增加原因主要是隨著機構改革職能增加。
4.政府性基金情況
本部門無政府性基金預算撥款和支出。
5.國有資本經營預算情況
本部門無國有資本經營預算支出情況。
6.機關運行經費等重要事項的說明
2020年機關運行經費預算安排83.04萬元,較上年減少3.82萬元,同比下降4.40%,下降原因是在人員增加的情況壓縮機關運行開支。從構成情況看,其中:辦公費2.44萬元、印刷費1.68萬元、咨詢費0.2萬元、水費0.25萬元、電費2.5萬元、郵電費1.9萬元、取暖費0.1萬元、物業管理費2.3萬元、差旅費11.83萬元、維修(護)費2萬元、會議費2.38萬元、培訓費1.98萬元、公務接待費3.32萬元、勞務費1.5萬元、工會經費5.45萬元、福利費6.83萬元、公務用車運行維護費7.1萬元、公務交通補貼26.64萬元、其他商品和服務支出2.64萬元。
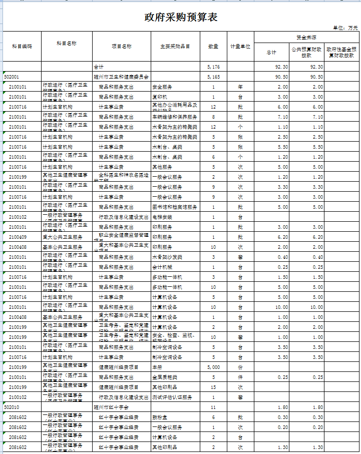
7.政府采購情況
政府采購預算172.78萬元,其中:新增資產購置95.4萬元,購買服務77.38萬元。較上年增加66.18萬元,增幅62.21%,增幅原因主要是換置安全可靠產品和增加信息化建設投入。
8.國有資產占用情況
截止2019年底,市衛健委期末資產總計679.01萬元,比年初減少479.29萬元,減幅41.38%,減幅原因主要是固定資產折舊和將上年拍賣公務車輛入賬。其中流動資產177.27萬元,比年初增加35.78萬元,增幅25.28%,主要原因是年底結余增加;非流動資產501.74萬元,比年初減少515.08,減少50.66%,減幅原因主要是固定資產折舊和將上年拍賣公務車輛入賬。
(二)2020年“三公”經費預算情況說明
2020年隨州市衛健委“三公”經費預算安排18.72萬元,較上年減少19.49萬元,下降51.01%。其中:
因公出國(境)經費8萬元,較上年增加8萬元,同比減少50%。下調的原因是壓縮出國出境開支。
公務接待費3.47萬元,較上年下降5.14萬元,下降59.69%,下降原因是壓縮公務接待費用。
公車運行維護費7.25萬元,較上年減少6.35萬元,下降46.69%。下降原因是壓縮公車運行維護費。
無公務用車購置費預算安排。
二、隨州市市直衛健系統2020年匯總預算情況說明
(一)2020年市直衛健系統匯總預算收支情況說明
1.收入預算情況
收入預算總額171880.44萬元,較上年預算安排增加19572.29萬元,增幅12.85%。其中:1.財政撥款7008.32萬元,較上年增加2055.73萬元,增幅41.51%,增幅原因主要原因是中央加大對醫療的基礎建設投入;包括財政經費撥款(補助)3248.92萬元、納入預算管理的非稅收入818.09萬元、上級專項轉移支付2941.31萬元。2.納入專戶管理的非稅收入3024.91萬元,較上年增加79.87萬元,增幅2.71%,增幅原因是醫療衛生機構運營規模擴大。3.事業單位經營收入138035.27萬元,較上年增加17445.85萬元,增幅14.47%,增幅原因是醫療衛生機構運營規模擴大;4.其他收入23629.51萬元,較上年減少127.76萬元,下降0.54%,下降原因是收縮部分門店出租。5.上年結轉182.43萬元,較上年增加18.6萬元,增幅11.35%,增幅原因主要是待結未結。
2.支出預算情況
支出預算總額171880.44萬元,較上年預算安排增加19572.29萬元,增幅12.85%。
一是按功能分類:社會保障和就業支出4942.6萬元,醫療衛生72678.07萬元,社會保障支出3776.51萬元,事業單位經營支出90483.26萬元。
二是按經濟科目分類:工資福利支出47896.85萬元,較上年增加6185.17萬元,增幅14.82%,增幅原因主要是將住房公積金、住房補貼、物業補貼等列入工資福利;對個人和家庭的補助支出398.79萬元,較上年184.48/萬元,增幅86.08%,增加原因主要是增加離退休費用和將對企業退休職工計劃生育家庭獎勵(118萬元)納入;商品和服務支出8047.5萬元,較上年增加1800.65萬元,增幅28.82%,增幅原因是增加專用材料的購置和因醫療機構規模擴大費用增加;其他支出115537.3萬元,同比增加11401.98萬元,增幅10.95%,增加的原因是新增基建支出。
3.財政撥款支出情況
2020年財政撥款支出預算總額3248.92萬元,較上年減少96.18元,降幅2.88%,降幅原因是減少醫療衛生機構項目補助經費。
4.政府性基金情況
2020年無政府性基金預算撥款和支出。
5.國有資本經營預算情況
2020年無國有資本經營預算支出情況。
6.機關運行經費等重要事項的說明
2020年機關運行經費預算安排152.54萬元,較上年增加40.9萬元,增幅36.63%,增幅原因主要是增加了電費、物業管理費和公務用車運行費。從構成情況看,其中:辦公費5.98萬元、印刷費2.82萬元、咨詢費0.2萬元、水費3.19萬元、電費9.5萬元、郵電費3.4萬元、取暖費0.1萬元、物業管理費5.8萬元、差旅費24.96萬元、因公出國費10萬元、維修(護)費5.5萬元、會議費4.78萬元、培訓費4.03萬元、公務接待費10.44萬元、勞務費1.5萬元、工會經費7.13萬元、福利費6.83萬元、公務用車運行維護費17.1萬元、公務交通補貼26.64萬元、其他商品和服務支出2.64萬元。
7.政府采購情況
2020年市直衛計系統新增政府采購25118.08萬元,較上年度減少713.28萬元,降幅2.76%,降幅主要原因是醫療機構的政府購買服務減少。
8.國有資產占用情況
截止2019年底,市直衛計系統期末資產總計179520.97萬元,比年初增加11050.97萬元,增幅6.56%,增幅原因主要是近幾年來,我市加強醫療衛生機構基礎設施建設和醫用設備配置。其中流動資產51010.75萬元,比年初減少1211.25萬元,減幅2.32%,主要原因是支付基礎建設款項和清理欠款;非流動資產128510.23萬元,比年初增加12262.22萬元,增幅10.54%,主要原因是基礎設施建設和醫用設備配置。
(二)2020年“三公”經費預算匯總情況說明
2020年 “三公”經費預算安排90.49萬元,較上年增加7.44萬元,增幅8.95%,增幅原因主要是增加公務用車運行(特別醫務用車)和出國經費。其中:
因公出國(境)經費18萬元,較上年增加2萬元,同比增幅12.5%。主要原因是市直醫療衛生單位加強了專家學者出國學習培訓。
公務接待費19.79萬元,較上年減少3.24萬元,降幅14.07%。降幅主要原因是:加強內部控制,壓縮公務接待開支。
公車運行維護費52.7萬元,較上年增加8.68萬元,增幅19.71%。增幅主要原因是疾控中心處理突發疫情及按省疫苗管理的要求每月向各個鄉鎮配送一類疫苗,按政府要求為保證全市生活飲用水安全,每日進行采水檢測及單位職能轉變,增加了財政投入支出。
第三部分 隨州市衛健委2020年部門預算表
一 、隨州市衛健委2020年部門本級預算表











二、隨州市衛健委2020年部門匯總預算表











第四部分 隨州市衛健委2020年預算績效情況
一、部門整體績效目標編制情況

二、重點項目績效目標編制情況


第五部分 名詞解釋
1.財政撥款收入:指省級財政當年撥付的資金。
2.事業收入:指事業單位開展專業業務活動及輔助活動所取得的收入。主要是委預算管理醫院開展醫療服務活動、按照規定收費項目和標準取得的收入。
3.事業單位經營收入:指事業單位在專業業務活動及其輔助活動之外開展非獨立核算經營活動取得的收入。
4.其他收入:指除上述“財政撥款收入”、“事業收入”、“事業單位經營收入”等以外的收入。
5.用事業基金彌補收支差額:指事業單位在預計用當年的“財政撥款收入”、“財政撥款結轉和結余資金”、“事業收入”、“事業單位經營收入”、“其他收入”不足以安排當年支出的情況下,使用以前年度積累的事業基金(事業單位當年收支相抵后按國家規定提取、用于彌補以后年度收支缺口的資金)。
6.上年結轉:指以前年度尚未完成、結轉到本年仍按原規定用途繼續使用的資金
7.社會保障和就業支出(類)行政事業單位離退休(款):反映用于行政事業單位離退休方面的支出。
8.衛生健康支出(類)衛生健康管理事務(款):反映衛生健康、中醫等管理事務方面的支出。
行政運行(項):反映行政單位(包括實行公務員管理的事業單位)的基本支出。
一般行政管理事務(項):反映行政單位(包括實行公務員管理的事業單位)未單獨設置項級科目的其他項目支出。
其他衛生健康管理事務支出(項):反映除上述項目以外,其他用于衛生健康管理事務方面的支出。
9.衛生健康支出(類)公立醫院(款):反映公立醫院方面的支出。
綜合醫院(項):反映衛生和計劃生育、中醫部門所屬的城市綜合性醫院、教學醫院的支出。
中醫醫院(項):反映衛生和計劃生育、中醫部門所屬的中醫院、中西醫結合醫院、民族醫院的支出。
其他專科醫院(項):反映衛生和計劃生育、中醫部門所屬的除傳染病醫院、精神病醫院、兒童醫院、婦產科醫院以外的支出。
10. 衛生健康支出(類)公共衛生(款):反映公共衛生支出。
疾病預防控制機構(項)反映衛生和計劃生育、中醫部門所屬的疾病預防控制機構的支出。
衛生監督機構(項)反映衛生和計劃生育、中醫部門所屬的衛生監督機構的支出。
采供血機構(項)反映衛生和計劃生育、中醫部門所屬的采供血機構的支出。
其他專業公共衛生機構(項)反映衛生和計劃生育、中醫部門所屬的其他專業公共衛生機構的支出。
重大公共衛生專項(項)反映重大疾病預防控制等重大公共衛生服務項目支出。
其他公共衛生支出(項)反映其他用于公共衛生方面的支出。
11. 衛生健康支出(類)中醫藥(款):反映中醫藥方面的支出。
中醫藥專項(項):反映中醫(民族醫)藥專項方面的專項支出。
其他中醫藥支出:反映除中醫(民族醫)藥專項支出以外的其他中醫藥支出。
12.衛生健康支出(類)計劃生育事務(款):反映計劃生育方面的支出。
計劃生育機構(項):反映衛生健康部門所屬計劃生育機構的支出。
其他計劃生育事務支出(項):反映除上述項目之外用于計劃生育管理事務方面的支出。
13. 衛生健康支出(類)行政事業單位醫療(款):反映行政事業單位醫療方面的支出
行政單位醫療(項):反映財政部門安排的行政單位(包括實行公務員管理的事業單位,下同)基本醫療保險繳費經費,未參加醫療保險的行政單位的公費醫療經費,按國家規定享受離休人員待遇人員的醫療經費。
事業單位醫療(項):反映財政部門安排的事業單位基本醫療保險繳費經費,未參加醫療保險的事業單位的公費醫療經費,按國家規定享受離休人員待遇的醫療經費。
14.衛生健康支出(類)老齡衛生健康事務(款):反映老齡衛生健康事務方面的支出。
15. 衛生健康支出(類)其他衛生健康支出(款):反映除上述項目以外,其他用于衛生健康方面的支出。
16.基本支出:指為保障機構正常運轉、完成日常工作任務而發生的人員經費和日常公用經費。
17.項目支出:指在基本支出之外為完成特定行政任務和事業發展目標所發生的支出。
掃一掃在手機上查看當前頁面
您訪問的鏈接即將離開“隨州市人民政府”門戶網站,是否繼續?
您的瀏覽器版本太低!
為了更好的瀏覽體驗,建議升級您的瀏覽器!